
400-658-8118
汇彩网welcome
18681081126

改性产品
HPMC主要用途
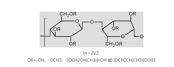
羟丙基甲基纤维素(HPMC)是由棉、木经碱化、环氧丙烷和氯甲烷醚化等过程制成的非离子型纤维素混合醚,HPMC具有良好的分散、乳化、增稠、粘结、保水和保胶性能,用作增稠剂、分散剂、粘结剂、赋形剂、耐油涂层、填料、乳化剂及稳定剂。广泛用于石油化工、建筑材料、陶瓷、纺织、食品、日化、合成树脂、医药、涂料、电子和军工等多个领域中。
HPMC包装、贮存
内衬聚乙烯薄膜内袋的桶装或纸塑袋。
每袋净重:25kg。
在贮藏及运输过程中防止日晒雨淋

汇彩网welcome电话: 18681081126
QQ:
电邮:
汇彩网welcome地址: 广东省东莞市南城街道三元路4号保利都汇大厦1栋508
|
|
![]() 扫一扫,更多优惠 |

18681081126